Accelerate recovery. Restore movement. Optimize performance. TB-500 works best in cycles and can be used in conjunction with BP-500 and KPV for optimal results.
What is a Peptide
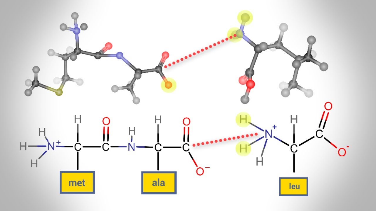
A peptide is a small chain of amino acids that acts as a messenger or helper in the body; it sends signals to cells, instructing them on what to do.
Poplular Peptide Supplements
Retatrutide ("Triple G")
Retatrutide is a “triple agonist” that targets three hormone receptors: GLP-1, GIP, and glucagon.
It has demonstrated some of the most significant weight-loss results to date, with reported reductions exceeding 24% of body weight. In addition to promoting substantial weight loss, retatrutide significantly increases energy expenditure and appears to reduce liver fat more effectively than earlier therapies in its class.
BP 157 Body Protection
BPC-157 is known for its regenerative and anti-inflammatory properties. It supports systemic healing by promoting the repair of soft tissues, including tendons, ligaments, and muscles, through mechanisms such as the formation of new blood vessels, collagen production, and growth factor signalling.
It has also been shown to help improve symptoms associated with increased intestinal permeability and reduce systemic inflammation.
KPV
A potent anti-inflammatory tripeptide. It is exceptionally effective at calming autoimmune and gut-related inflammation, such as IBS, Ulcerative Colitis, and SIBO. KPV is frequently used topically to treat inflammatory skin conditions like eczema and psoriasis.
GHK-Cu Copper Peptide
This is the premier peptide for longevity and aesthetics, frequently used both topically and via injection.
GHK-Cu is an antioxidant and collagen stimulator and is widely used to reverse skin aging, promote hair growth, and accelerate wound healing
MOT-C
Optimize your brain’s internal clock and sharpen cognitive resilience with a precision-engineered peptide designed to harmonize circadian rhythms and protect neural pathways.
MOTS-c enhances physical performance, increases energy production and has shown promise in combating age-related insulin resistance and obesity.
TB 500
Accelerate your body’s natural healing response and restore mobility with the regenerative peptide designed to rapidly repair tendons, ligaments, and muscle tissue from the inside out.
TB-500 travels through the bloodstream to find areas of acute inflammation or tissue damage, making it incredibly effective for systemic recovery of tendons, ligaments, and even the heart and eyes.
Pinealon
Optimize your brain’s internal clock and sharpen cognitive resilience with a precision-engineered peptide designed to harmonize circadian rhythms and protect neural pathways.
Pinealon (also known as EDR peptide) is a short, bio-active peptide, a tiny piece of protein, originally developed in Russia to support brain health. It is designed to act as a “bioregulator,” meaning it helps restore and optimize how brain cells work.
tesamorline
Target deep abdominal fat and optimize your natural growth hormone release with a precision-engineered approach to metabolic health and cellular repair.
Tesamorelin is a synthetic peptide and a growth hormone-releasing hormone (GHRH) analogue. Tesamorelin works by mimicking the natural hormone produced in the hypothalamus. I
NAD+
Recharge your cellular battery and sharpen mental clarity with the essential molecule that fuels energy, powers DNA repair, and restores youthful vitality from the inside out.
NAD+ is fundamental to cellular energy and repair, primarily by fueling the mitochondria to produce ATP, the body’s main energy source. By maintaining robust NAD+ levels, the body can better manage metabolic efficiency, support cognitive clarity, and enhance the resilience of tissues against the natural stressors of aging
Ipamoreline
Experience a cleaner, more selective boost in natural growth hormone that accelerates recovery and improves sleep quality without the unwanted hormonal side effects.
Ipamorelin is a growth hormone that stimulates the pituitary gland to release natural growth hormone pulses. By mimicking the body’s endogenous rhythms, it effectively promotes lean muscle development, accelerates tissue repair, and enhances fat metabolism.
What is a Peptide
Peptides are powerful and beneficial compounds that can play an essential role in maintaining overall health and wellness. These short chains of amino acids help support natural body functions such as muscle growth, fat metabolism, tissue repair, and hormone balance. Peptides can boost energy, enhance recovery, and promote youthful skin and overall vitality.
- The “Lock and Key” Mechanism: Each peptide has a unique shape designed to fit into a specific receptor on a cell’s surface.
- The Signal Cascade: Once the “key” (peptide) turns the “lock” (receptor), it triggers a biochemical relay race inside the cell.
The Targeted Result: Depending on the peptide, the cell might start synthesizing protein, burning fat, or dampening an overactive immune response.
Playlist
3 Videos
3:21
1:31
1:03
Get Excited!
The process is easy!
1
Comprehensive Bio-Analysis
A professional consultant begins by assessing the client’s unique biological terrain. This objective evaluation ensures that peptide recommendations are data-driven rather than speculative
2
Strategic Protocol Design
The consultant views peptide use not as a permanent fixture, but as a series of targeted interventions. They design sophisticated “cycles” to maximize receptor sensitivity and minimize habituation.
3
Holistic Integration
Peptides are amplifiers, not replacements for foundational health. Our consultants optimize protein intake, resistance training, and circadian rhythm to provide the raw materials the peptides need to execute their cellular “commands.”
You ask, we answer
Peptides are short chains of amino acids, typically defined as having fewer than 50 links in the chain. While both peptides and proteins are built from amino acids, peptides are much smaller and more agile. This smaller molecular size allows them to act as signaling molecules that can easily penetrate tissues and attach to specific cell receptors to “unlock” biological functions.
Peptides operate on a “lock and key” mechanism. Each peptide is structurally designed to bind only to a specific receptor on a target cell. For example, a collagen-stimulating peptide will ignore a fat cell but perfectly fit the receptor on a fibroblast (skin cell). This high level of specificity allows for precise results with a significantly lower risk of “off-target” side effects compared to traditional systemic drugs.
No. While some peptides can stimulate the natural production of hormones (such as Growth Hormone), they are not hormones themselves. Unlike anabolic steroids, which take over a system and can shut down the body’s natural production, peptides generally work as secretagogues or modulators. They “nudge” the body to optimize its own natural processes rather than overriding them.
Because peptides are made of amino acids, the human digestive system often views them as food. If swallowed in a standard capsule, the stomach’s enzymes and acids would break the peptide chain down into basic nutrients before it could reach the bloodstream. To maintain their structural integrity and “message,” most peptides are administered via subcutaneous injection, nasal spray, or specialized stable oral formulations (like BPC-157).
When guided by a qualified professional and sourced from accredited laboratories, peptide therapy represents a highly precise, biocompatible approach to wellness that works in harmony with the body’s natural signaling pathways.
By mimicking the body’s own restorative messengers, these targeted sequences allow for a controlled and gentle “cellular conversation” that prioritizes long-term physiological balance and systemic repair.
Retatrutide
The real victory in this new era isn’t the number on the scale; it’s the elimination of visceral fat. This “hidden” fat surrounds vital organs and drives systemic inflammation. The future of health focuses on improving body composition and metabolic age, ensuring that the weight lost is the weight that actually matters for longevity
Triple Action Retatrutide
Retatrutide Peptide Supplement
Retatrutide is the future of metabolic transformation, harnessing a powerful Triple-Action mechanism that targets GLP-1, GIP, and Glucagon receptors simultaneously. This unique approach delivers unprecedented results, achieving the highest weight loss ever recorded in trials, up to 24.2% of body weight. Beyond the scale, Retatrutide acts as a complete metabolic reset, dramatically improving blood sugar, blood pressure, and achieving near-normalization of fatty liver disease, making it the strategic choice for total cellular and physical renewal.
Playlist
3 Videos
4:59
1:13
16:49
Lose more than weight.
Lose the struggle.
Clinical results of up to 24% loss in 4-8 weeks.

Retatrutide 10
10 mg Freeze Dried
★★★★★ Rated 5 out of 5
Most protocols begin at 2 mg per week for the first 4 weeks. Choose 10 mg Retatrutide for the initial dose, with a recommended titration.
- 15 units: week 1
- 15 units: week 2
- 20 units: week 3
- 20 units: week 4

Retatrutide 20
20 mg Freeze Dried
★★★★★ Rated 5 out of 5
Escalation 1: 20 Mg Retatrutide is a good purchasing option because you have the flexibility to move up in smaller increments.
- 20 units: week 5
- 25 units: week 6
- 25 units: week 7
- 30 units: week 8

Retatrutide 30
30 mg Freeze Dried
★★★★★ Rated 5 out of 5
Purchasing a 30 mg bottle is generally a strategic move, as increasing doses would deplete a 20 mg bottle too quickly.
The transition to a larger vial is usually driven by your current weekly dosage.
BPC 157: the Wolverine
BPC-157 (Body Protection Compound-157) is often referred to as the “Wolverine Peptide” due to its potential for rapid tissue repair. It is a synthetic sequence of 15 amino acids derived from a protective protein found naturally in human gastric juice.
Get excited for the repair
BPC-157 key Benefits
1
Soft Tissue Repair
Accelerate the healing of tendons, ligaments, and muscles. It works by promoting angiogenesis (the formation of new blood vessels) to deliver nutrients to “white” tissues, such as tendons, which often have poor blood flow.
BPC 157 Ignites cell-level collagen production to patch and strengthen frayed ligaments.
2
Gut Health
Because it originates in the stomach, it is used to treat “Leaky Gut,” IBS, and gastric ulcers. It helps rebuild the mucosal lining of the GI tract.
BPC 157 Seals the gut to stop systemic toxins from triggering chronic joint flare-ups.
3
Emerging Research
BPC 157 may help “rebuild” brain health by protecting neurons and balancing neurotransmitters like GABA and Dopamine.
Additionally, Research into BPC-157 for eyesight is one of the most intriguing but “experimental” frontiers of peptide science.
4
Anti-Inflammatory
It helps modulate the systemic inflammatory response, which can reduce chronic joint pain by optimizing blood flow to starved joints while blocking the stress that erodes cartilage.
BPC 157 Silences “breakdown” signals to shift your joint environment into active repair.
Playlist
3 Videos
33:46
1:53
3:02
BPC-157
Unlike metabolic drugs (such as Retatrutide), BPC-157 typically doesn’t require a slow “titration” upward because it doesn’t cause the same hormonal shifts. However, a cycling protocol is highly recommended to prevent desensitization.

General Recovery
Typical Daily dose Sub-Q
- Subcutaneous (Sub-Q) injection
- 250 mcg
- 1 x daily
- 4-6 weeks
★★★★★ Rated 5 out of 5

Acute Injury/Tendon
Typical Daily Dose Sub-Q
- subcutaneous (Sub-Q) injection
- 500 mcg
- split 205 mcg 2 x daily
- 6-12 weeks
★★★★★ Rated 5 out of 5

Severe Gut Issues
Typlical Daily dose Oral
- Oral Pill
- 500 mcg
- 1x daily
- 8-12 weeks
★★★★★ Rated 5 out of 5
KPV
Stimulating Powerhouse
KPV peptide is a gentle, naturally inspired ingredient designed to help calm and rebalance the body. Known for its soothing properties, KPV supports the body’s natural ability to reduce irritation and promote comfort, making it a popular choice for skin and wellness-focused formulations.
KPV: The Healing Tripeptide
KPV is a naturally occurring tripeptide fragment that targets key inflammatory pathways. KPV supports tissue healing, reduces chronic inflammation, and promotes gut health.
Playlist
3 Videos
9:03
4:21
22:25
Quench the Fire of Overactive Immune Response
When to use KPV Tripeptide
1
Chronic Gut Inflammation (IBD/IBS)
When: Use if you are struggling with Ulcerative Colitis, Crohn’s, or “Leaky Gut.”
Why: KPV enters the cell nucleus and shuts down NF-κB, the master switch for inflammation. It actively repairs the intestinal lining and reduces the “cytokine storm” in the gut.
.
2
Skin Conditions (Psoriasis/Eczema)
When: Use for localized flare-ups or systemic autoimmune skin issues.
Why: It has powerful antimicrobial and anti-fungal properties. When used topically or orally, it reduces the redness, itching, and scaling associated with chronic dermatitis without the side effects of steroids
3
Mast Cell Activation Syndrome (MCAS)
When: Use if you have severe allergies, Histamine Intolerance, or “mystery” inflammatory flares.
Why: KPV stabilizes mast cells. It prevents them from releasing the histamines and chemicals that cause brain fog, hives, and systemic swelling.
How to Use KPV
Precision over Power.” Titrating KPV allows your immune system to recalibrate without being overwhelmed. It ensures the “cleanup” of inflammation happens at a pace your liver and kidneys can handle, leading to sustained clarity rather than a “crash and burn” recovery.

Oral (Capsules)
500 mcg
- One capsule every other day for the first week
- One capsule every day for 5 weeks
- Cycle KPV every six weeks
★★★★★ Rated 5 out of 5

Injected (Subcutaneous)
500 mcg per .1 ml
- Titrate by volume.
- If your vial is reconstituted to 500 mcg per 0.1mL, start with 0.05mL (250 mcg).
- Cycle KPV every six weeks
★★★★★ Rated 5 out of 5

Topical
Thin Layor
- Apply a thin layer once daily to a small patch of skin first
- Ensure no irritation before moving to twice-daily full application.
★★★★★ Rated 5 out of 5
TB-500
TB-500 is valued for its potential to enhance mobility, accelerate healing, and improve overall recovery time. It is designed to optimize recovery, resilience, and physical performance.
anti-inflammatory
TB-500 Repair
TB-500 is a peptide that supports the body’s natural repair and recovery processes. It is derived from Thymosin Beta-4, a protein found naturally in the body that plays an important role in healing and tissue regeneration. TB-500 works by helping cells move to areas that need repair, supporting blood flow, and promoting a balanced inflammatory response.
TB-500 is often used in wellness and performance programs to support recovery from muscle strain, joint discomfort, and soft tissue injuries. It may help improve flexibility, mobility, and overall recovery time.
Playlist
3 Videos
35:53
8:39
4:00
Get Excited
TB-500 Benefits
1
Support Faster Recovery
Helps promote repair of muscles, tendons, and soft tissues.
2
Improves Mobility & Flexibility
Supports the natural repair processes within connective tissues such as tendons and ligaments.
3
Enhances Tissue Repair
Encourages healthy blood flow and cellular regeneration.
how to use tb-500
Cycling Protocol

TD-500
Loaidng Phase
★★★★★ Rated 5 out of 5
- Weeks 1 -4
- 5 mg once weekly
- 5ubcutaneous Injection

TD-500
Maintenance Phase
★★★★★ Rated 5 out of 5
- Weeks 5-10
- 2.5 mg once weekly
- 5ubcutaneous Injection

TD-500
Take a Break
★★★★★ Rated 5 out of 5
- Weeks 11-12
- Off Cycle
GHK-cu: Copper Peptide
GHK-Cu is the next level of biohacking, delivering potent anti-aging and regenerative signals directly onto our skin and into your bloodstream. Available in an subcutanious injection, face/scalp serum or lotion.
What's the story?
What is GHK-Cu?
GHK-Cu (Glycyl-L-Histidyl-L-Lysine Copper) is a tripeptide complex naturally found in human plasma. It was first discovered in 1973 by Dr. Loren Pickart.
The Problem: At age 20, your GHK-Cu levels are at their peak. By age 60, they drop by over 60%, leading to slower healing and visible signs of aging.
The Solution: By reintroducing GHK-Cu topically or systemically, you “reset” your cells to a more youthful state, encouraging the production of collagen, elastin, and glycosaminoglycans.
GHK-Cu is the “Blue Diamond” of biohacking because it’s a naturally occurring copper peptide that acts as a cellular reset button. Unlike standard skincare that simply masks aging,
GHK-Cu communicates directly with your DNA to upregulate collagen, repair damaged tissue, and restore hair density. It offers the transformative power of a retinoid without the irritation, proving that you don’t have to choose between clinical results and skin health.
Playlist
3 Videos
6:35
19:56
51:07
GHK-Cu
The Copper Peptide
The Blueprint to look and feel younger.

GHK-cu
Injectable Subcutaneous
★★★★★ Rated 5 out of 5
- Standard Dose: Typically 1 mg to 2 mg per day.
- High-End Dose: Wound healing, go up to 5 mg daily for short-term use (e.g., 10–30 days).
- Frequency: Once daily or 5 days on / 2 days off.
- Cycling: It is recommended to cycle GHK-Cu (e.g., 6–8 weeks on, followed by a 4-week break).

GHK-cu
Serum (Face stamp)
★★★★★ Rated 5 out of 5
A copper peptide serum designed to support long-term skin quality, firmness, and texture. Lightweight and suitable for routine use.
Blue Copper Renewal Serum
GHK-Cu
Size: 30 mL

GHK-cu
Lotion
★★★★★ Rated 5 out of 5
GHK-Cu lotion is the powerhouse of non-invasive skin remodelling, specifically designed to thicken thinning skin and improve elasticity. Clinically proven to increase skin density by stimulating glycosaminoglycans and collagen synthesis.
Actively removes damaged proteins.
Naturally calms redness and accelerates the healing of minor skin irritations.
MOTS-c
MOTS-c is a mitochondrial-derived peptide that plays a key role in regulating metabolism, cellular energy production, and metabolic resilience.
Key Features
MITOCHRONDRIAL-DERIVED PEPTIDE
MOTS-c works at the cellular level to help the body adapt to stress, improve metabolic flexibility, and support healthy aging.
UNLOCK YOUR CELLULAR PRODUCTION
MOTS-C
Encoded within mitochondrial DNA, MOTS-C helps activate key pathways that support metabolic balance, insulin sensitivity, and efficient fuel utilization. Often described as an “exercise-mimetic” peptide, MOTS-c helps the body adapt to metabolic stress and promotes improved glucose and fat metabolism at the cellular level.
MOTS-c helps enhance body composition, improve endurance, and promote healthy aging. It works by optimizing how cells respond to nutrients and physical stress, making it a promising option for individuals focused on performance, metabolic health, and long-term vitality. MOTS-c plays an important role in building metabolic resilience and supporting overall wellness.
Playlist
3 Videos
5:42
20:43
3:41
Get Excited!
benefits of MOTS-c
1
Cellular Energy Support
Activates key metabolic pathways to enhance energy production and efficiency.
2
Metabolic Optimization
Supports healthy glucose utilization and fat metabolism.
3
Longevity Pathway Activation
Engages pathways associated with metabolic resilience and healthy aging.
how to use
mOTS-C
Dosing is titrated gradually, starting at a lower dose to assess tolerance and response, then increasing if appropriate.

MOTS-c
15 MG Injection
★★★★★ Rated 5 out of 5
- 15 mg subcutaneous injection dose
- Administer twice per week
- Take with Retatrutide for optimal results

MOTS-c
25 MG Injection
★★★★★ Rated 5 out of 5
- 25 mg subcutaneous injection dose
- Administer twice per week
- Take with Retatrutide for optimal results

MOTS-c
50 mg Injection
★★★★★ Rated 5 out of 5
- 50 mg subcutaneous injection dose
- Administer once per week
- Take with Retatrutide for optimal results
Pinealon
Pinealon is a synthetic, short-chain tripeptide designed as a neuroprotective bioregulator to support brain health, cognitive function, and cellular longevity.
Tripeptide
Cognitive Optimization
Pinealon is primarily utilized for neurological resilience and cognitive optimization. Because it is a short-chain peptide, it has the unique ability to cross the blood-brain barrier and interact with neuronal genomes.
Pinealon enhances mental stamina, particularly in high-pressure environments that can lead to “brain fog” or cognitive burnout.
It is taken to proactively combat the cellular degradation associated with aging, with the intent of preserving memory retention and executive function well into later life.
Get Excited for Health
Benefits of Pinealon
1
Combat "Brain Fog" and Burnout
If you operate in high-stress environments, Pinealon helps maintain mental clarity under pressure.
It’s a favourite for those trying to stay sharp during intense work cycles or periods of sleep deprivation.
2
Protect the Aging Brain
As a geroprotector, it’s taken by those proactive about longevity. The goal is to:
- Slow down the degradation of neurons.
- Prevent the “slowing down” of memory recall that typically comes with age.
- Maintain “plasticity”—the brain’s ability to learn and adapt.
3
Fix a Broken Sleep Schedule
Influences the pineal gland (the control center for melatonin), so it can “reset” the internal clock.
- Overcoming chronic jet lag.
- Adjusting to shift work.
- Improving the restorative quality of deep sleep.
How to
Improve Brain Function
Pinealon is a signalling peptide (it “tells” your DNA to start a repair process), but more is not always better. Frequency: Repeat this cycle every 3 to 6 months

Pinealon
Titration & Stacking Strategy
★★★★★ Rated 5 out of 5
The “Low and Slow” Rule: If you are sensitive to nootropics or have a history of anxiety, start with the lowest possible dose (1 capsule or 100 mcg injection) and move to the full dose.
The “Pulse” Method: Once you finish a 20-day cycle, the effects are intended to “stick” for several months.

Pinealon
Oral
★★★★★ Rated 5 out of 5
- Dosage: 1–2 capsules (usually 200 mcg to 1 mg total) per day.
- Timing: Taken in the morning on an empty stomach for best absorption.
- Cycle Duration: 10 to 30 days.

Pinealon
Injectable
★★★★★ Rated 5 out of 5
- Dosage: 100 mcg to 500 mcg per day.
- Method: Subcutaneous (SQ) injection.
- Cycle Duration: 10 days
© 2026 Movely. All Rights Reserved.